Free Access

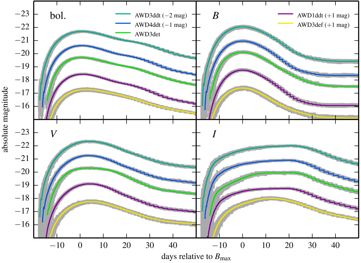
Fig. 8.

image

Bolometric and broadband lightcurves of all models for 100 different viewing angles. The magnitudes are shifted as indicated. The time is given relative to B-band maximum. As can be seen, the line-of-sight effects are small for all models.

Current usage metrics show cumulative count of Article Views (full-text article views including HTML views, PDF and ePub downloads, according to the available data) and Abstracts Views on Vision4Press platform.

Data correspond to usage on the plateform after 2015. The current usage metrics is available 48-96 hours after online publication and is updated daily on week days.

Initial download of the metrics may take a while.