Free Access

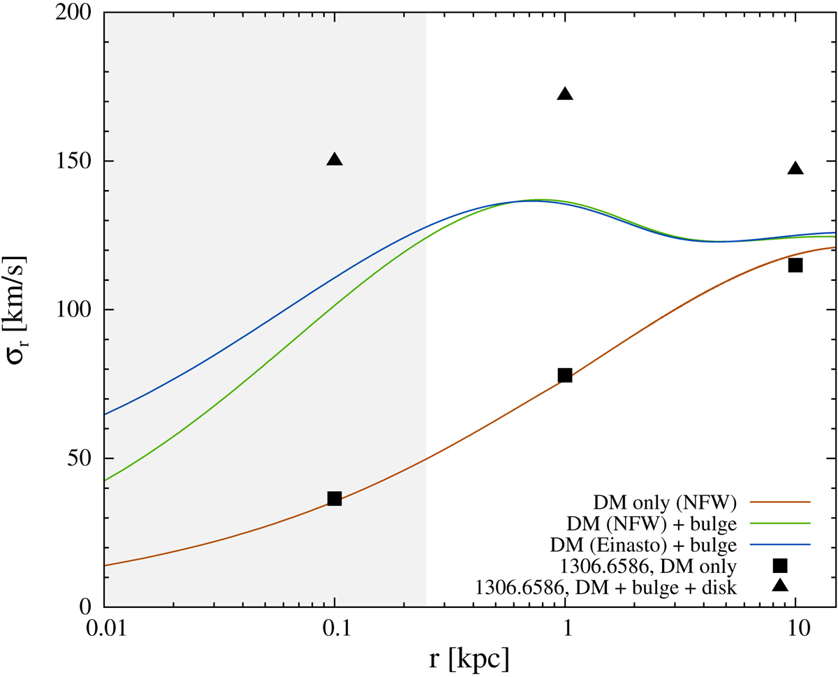
Fig. 3.

image

Velocity dispersion of the PBH DM. The solid curves show our estimate from the Jeans equation. Three cases are shown: the Galaxy consisting only of (i) NFW DM halo, (ii) NFW DM halo + baryonic bulge, and (iii) Einasto DM halo + baryonic bulge. The triangles and squares denote the DM velocity dispersions taken from Ferrer & Hunter (2013). Neglecting the baryonic disk leads to a ∼25% underestimation of the DM velocity dispersion, i.e. a factor of ∼3 overestimation of the accreting PBH luminosity. Replacing NFW with the Einasto density profile leads to a factor of ∼1.5 increase in the velocity dispersion in the very central parts. The light gray shaded region shows an approximate extent of the CMZ.

Current usage metrics show cumulative count of Article Views (full-text article views including HTML views, PDF and ePub downloads, according to the available data) and Abstracts Views on Vision4Press platform.

Data correspond to usage on the plateform after 2015. The current usage metrics is available 48-96 hours after online publication and is updated daily on week days.

Initial download of the metrics may take a while.