Free Access

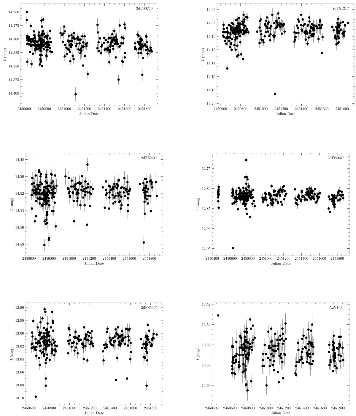
Fig. A.1.

image

Light curves of 63 Bsgs that have data from the OGLE II survey. The Julian date is plotted against the measured I-band magnitude.

Current usage metrics show cumulative count of Article Views (full-text article views including HTML views, PDF and ePub downloads, according to the available data) and Abstracts Views on Vision4Press platform.

Data correspond to usage on the plateform after 2015. The current usage metrics is available 48-96 hours after online publication and is updated daily on week days.

Initial download of the metrics may take a while.