Free Access

Fig. 6.

image

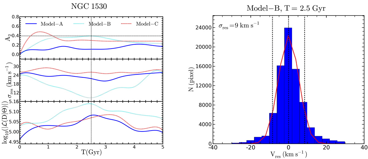
Same as Fig. 2 for NGC 1530. The dashed horizontal line is the A2 from Aguerri et al. (1998). The vertical dashed line indicates the location of the selected snapshot.

Current usage metrics show cumulative count of Article Views (full-text article views including HTML views, PDF and ePub downloads, according to the available data) and Abstracts Views on Vision4Press platform.

Data correspond to usage on the plateform after 2015. The current usage metrics is available 48-96 hours after online publication and is updated daily on week days.

Initial download of the metrics may take a while.