Free Access

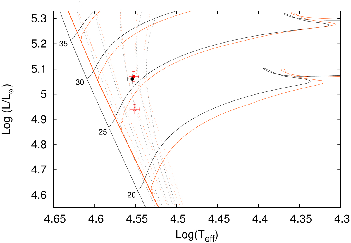
Fig. 7.

image

Evolutionary tracks in the HR diagram for stellar masses in the range 20–35 M taken from Brott et al. (2011). The vertical lines correspond to the isochrones of 1, 2, 3, 3.6, and 4 Myr (dotted lines) and the ZAMS (solid line). Horizontal lines depict the evolutionary tracks: black solid lines identify values of rotational velocities in the range 53– 61 km s−1 (that is, for the primary). Orange, the same for the secondary (rotation in the range 320–330 km s−1). The points represent the location of the HD 93343 binary components (black for the primary and red for the secondary): filled and empty dots for MV from Martins et al. (2005) and for MV estimated from distance modulus calculated in Sect. 5.2, respectively

Current usage metrics show cumulative count of Article Views (full-text article views including HTML views, PDF and ePub downloads, according to the available data) and Abstracts Views on Vision4Press platform.

Data correspond to usage on the plateform after 2015. The current usage metrics is available 48-96 hours after online publication and is updated daily on week days.

Initial download of the metrics may take a while.