Free Access

Fig. B.1

image

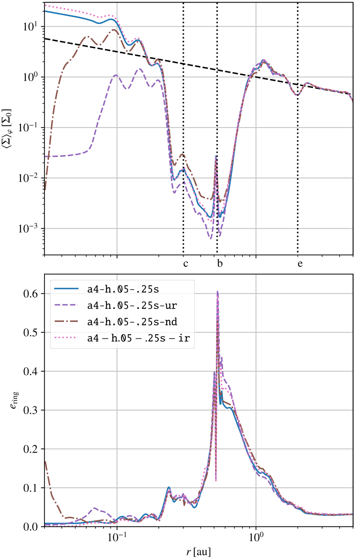
As Fig. 6. Here, we show the relaxed state of a simulation with an outflow inner boundary condition without damping the radial velocity, but damping vφvK (ur, brown) and a model with no damping at the inner boundary at all (nd, purple). In the former case, the artificial cavity is clearly created in the damping zone, while the latter, undamped model only shows a surface density decrease at the innermost edge of the domain. The pink dotted lines (ir) show results of a model that uses the standard damping but features a closed inner BC. It only deviates slightly, hosting more mass in the inner disk.

Current usage metrics show cumulative count of Article Views (full-text article views including HTML views, PDF and ePub downloads, according to the available data) and Abstracts Views on Vision4Press platform.

Data correspond to usage on the plateform after 2015. The current usage metrics is available 48-96 hours after online publication and is updated daily on week days.

Initial download of the metrics may take a while.