Free Access

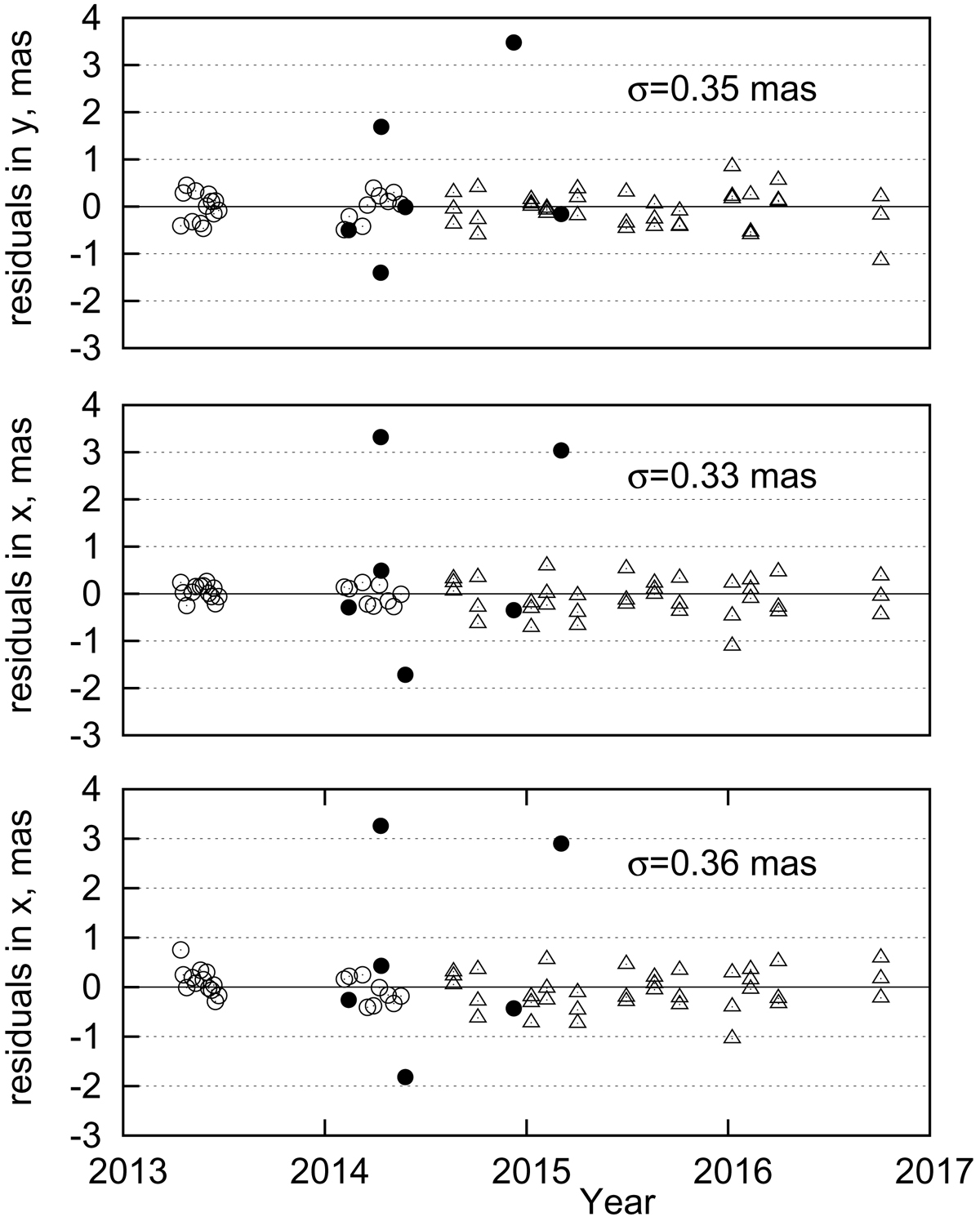
Fig. 7.

image

Residuals between the FORS2 (open circles), HST (triangles), and GeMS (filled circles) measured barycenter position of LUH 16 and the model of Eq. (8). The middle and upper panels are obtained assuming that offsets Δ are different for each telescope, while the lower panel shows the residuals in RA for the standard model of Eq. (8) with no offset (Δ = 0). The σ values refer to the average rms of residuals in RA and Dec for both HST and FORS2.

Current usage metrics show cumulative count of Article Views (full-text article views including HTML views, PDF and ePub downloads, according to the available data) and Abstracts Views on Vision4Press platform.

Data correspond to usage on the plateform after 2015. The current usage metrics is available 48-96 hours after online publication and is updated daily on week days.

Initial download of the metrics may take a while.