Free Access

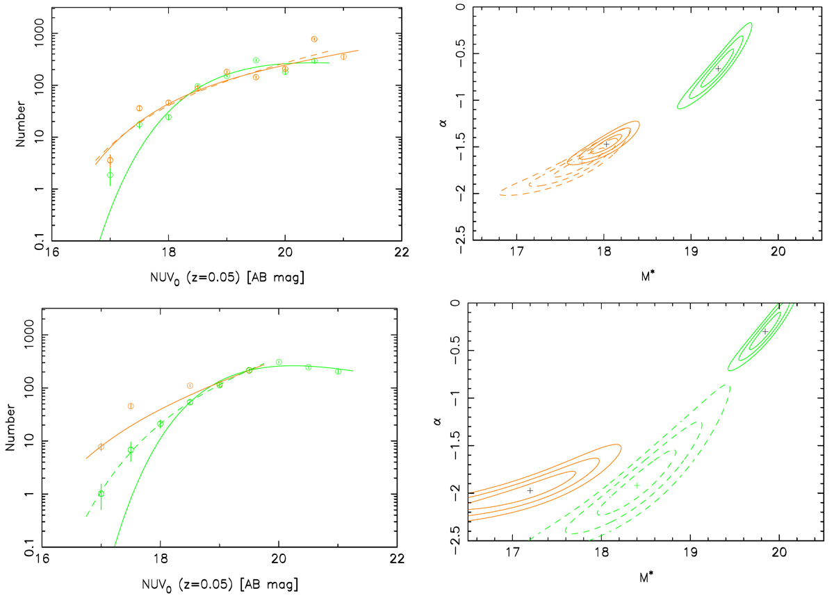
Fig. 8.

image

Left columns: luminosity functions for blue galaxies in high (green) and low σ (orange) clusters (top) and for low LX (orange) and high LX (green) clusters (bottom). Right columns: corresponding error ellipses. Again, care should be taken over the interpretation of the fitted parameters given the quality of the fits, though it is clear when simply looking at the data points that at least in the case of splitting by X-ray luminosity, there is a clear difference by the two subsamples. Continous and dashed lines and contours have the same meaning as in Fig. 6. The dashed line and contours for the split by X-ray luminosity show the (improved) fit for the high Lx subsample when only ranging over the same NUV0 values as for the low Lx subsample. In this case, the faint end slopes between the two subsamples are similar and the main difference is in a ∼1 mag shift in M*, it being fainter for the high Lx subsample.

Current usage metrics show cumulative count of Article Views (full-text article views including HTML views, PDF and ePub downloads, according to the available data) and Abstracts Views on Vision4Press platform.

Data correspond to usage on the plateform after 2015. The current usage metrics is available 48-96 hours after online publication and is updated daily on week days.

Initial download of the metrics may take a while.