Highlight
Free Access

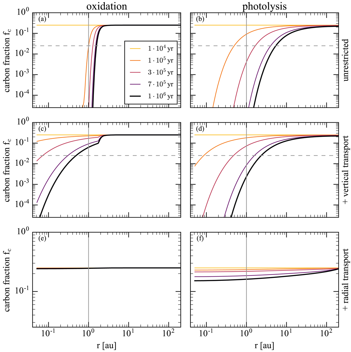
Fig. 3.

image

All panels show the carbon fraction fc = Σctot as function of disk radius r. Coloured lines show the time evolution of the carbon fraction fc in the fiducial model from 104 yr to 106 yr. The vertical line indicates Earth’s position. The horizontal dashed line shows depletion by a factor ten. Left: carbon removal by oxidation. Right: carbon removal by photolysis. Top panels: the oxidation (photolysis) fcΣ*/tox (fcΣph*/tph) is applied to the carbon in the exposed layer unrestricted by vertical or radial transport. Middle panels: vertical dust transport is taken into account as described in Eq. (7) (Eq. (A.9)). Bottom panels: vertical and radial dust transport as described in Appendix B are included. The scale of the y-axis has been changed because of the low level of carbon depletion in these models.

Current usage metrics show cumulative count of Article Views (full-text article views including HTML views, PDF and ePub downloads, according to the available data) and Abstracts Views on Vision4Press platform.

Data correspond to usage on the plateform after 2015. The current usage metrics is available 48-96 hours after online publication and is updated daily on week days.

Initial download of the metrics may take a while.