Press Release
Free Access

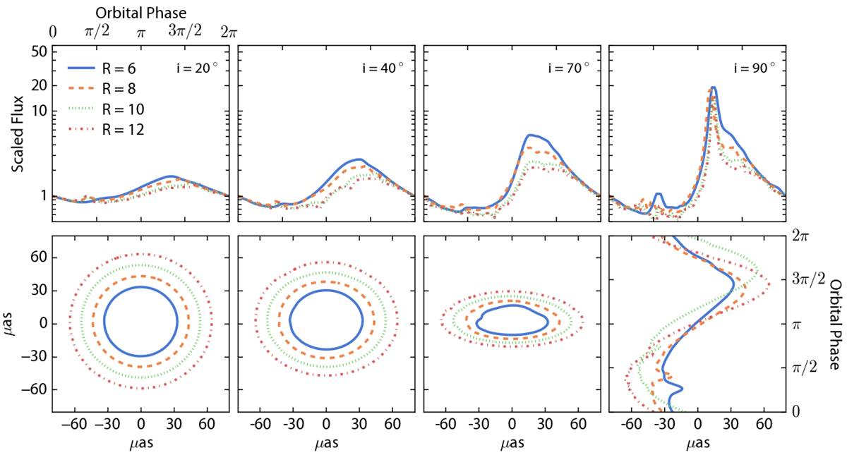
Fig. B.2.

image

Light curves (top) and centroid tracks (bottom) of a compact hot spot orbiting a Schwarzschild black hole for four different orbital radii and inclinations (R/Rg=6 (solid blue), 8 (red dashed), 10 (short-dashed green) and 12 (dash-dotted red)). From left to right the inclinations are 20, 40, 70 and 90°. Since the ordinary centroid for the 90° case simply yields a horizontal line, we instead plot the orbital phase Θ(t) against x(t) (based on the NERO code (Bauböck et al., in prep.); see also Hamaus et al. 2009).

Current usage metrics show cumulative count of Article Views (full-text article views including HTML views, PDF and ePub downloads, according to the available data) and Abstracts Views on Vision4Press platform.

Data correspond to usage on the plateform after 2015. The current usage metrics is available 48-96 hours after online publication and is updated daily on week days.

Initial download of the metrics may take a while.