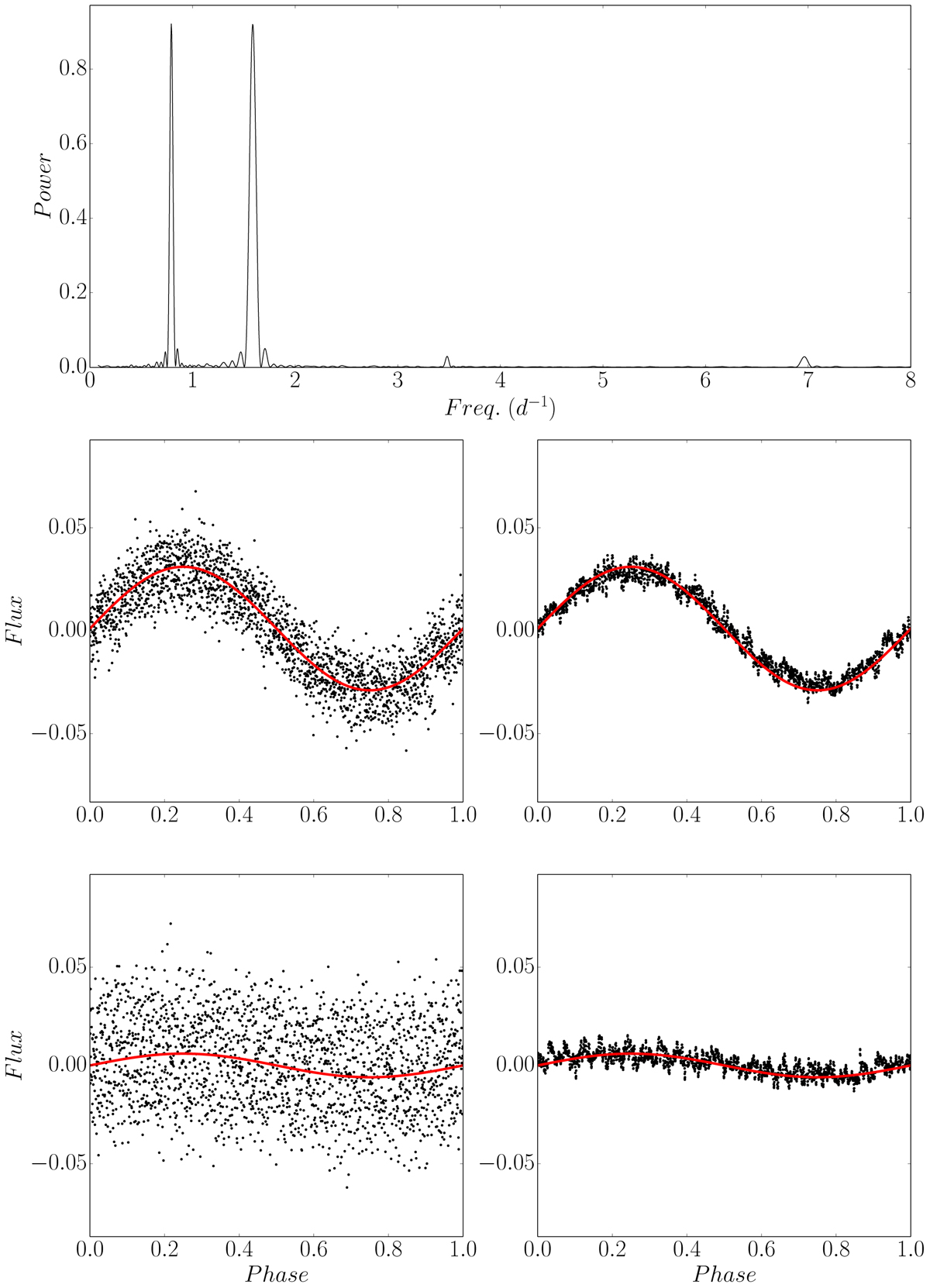
Fig. 9.

Example of the signal recovery for a multi-periodic sinusoidal signal. The red line corresponds to simulated signal. Top: LS power spectra of the signal after TFAW frequency analysis step (notice the small peak around 6.9 d−1 corresponding to the secondary signal). Middle left: TFA-detrended and reconstructed phase-folded low frequency signal. Middle right: same TFAW-filtered phased folded low frequency signal. Bottom left: TFA-detrended and reconstructed secondary signal. Bottom right: TFAW phase-folded secondary signal.
Current usage metrics show cumulative count of Article Views (full-text article views including HTML views, PDF and ePub downloads, according to the available data) and Abstracts Views on Vision4Press platform.
Data correspond to usage on the plateform after 2015. The current usage metrics is available 48-96 hours after online publication and is updated daily on week days.
Initial download of the metrics may take a while.