Free Access
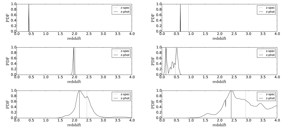
Fig. 7.

Example probability distribution functions (PDF) from the consolidated sample. First row: two sources with high information content, DKL ∼ 7. Second row: broader and multimodal PDFs with DKL ∼ 4, while the last row shows the PDFs with the least information content DKL < 2.
Current usage metrics show cumulative count of Article Views (full-text article views including HTML views, PDF and ePub downloads, according to the available data) and Abstracts Views on Vision4Press platform.
Data correspond to usage on the plateform after 2015. The current usage metrics is available 48-96 hours after online publication and is updated daily on week days.
Initial download of the metrics may take a while.