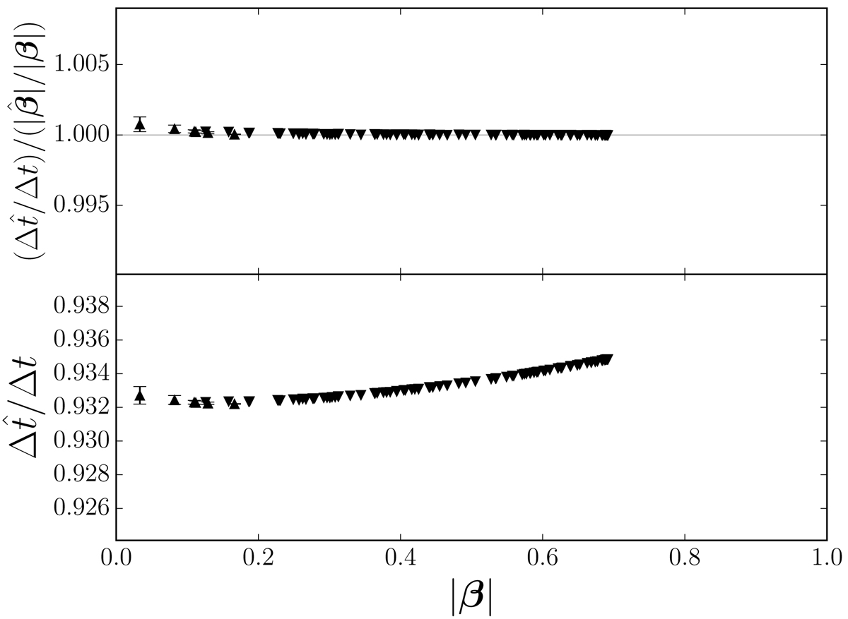
Fig. 4.

Time delay ratios of image pairs between the composite fiducial model and its SPT-transformed counterpart under a radial stretching with (f0, f2)=(−0.068, 0.012). Top panel: Δt̂/Δt normalized by the ratio are very close to 1, even in the quadruple image regime, which disagree with the results obtained in Schneider & Sluse (2014). Bottom panel: The impact of the SPT (cleaned from the pure MST with λ = 1 + f0 = 0.932) is around only a few tenths of percent. The error bars illustrates that the time delay ratios are not conserved in the quadruple image regime, as first suggested in Schneider & Sluse (2014).
Current usage metrics show cumulative count of Article Views (full-text article views including HTML views, PDF and ePub downloads, according to the available data) and Abstracts Views on Vision4Press platform.
Data correspond to usage on the plateform after 2015. The current usage metrics is available 48-96 hours after online publication and is updated daily on week days.
Initial download of the metrics may take a while.