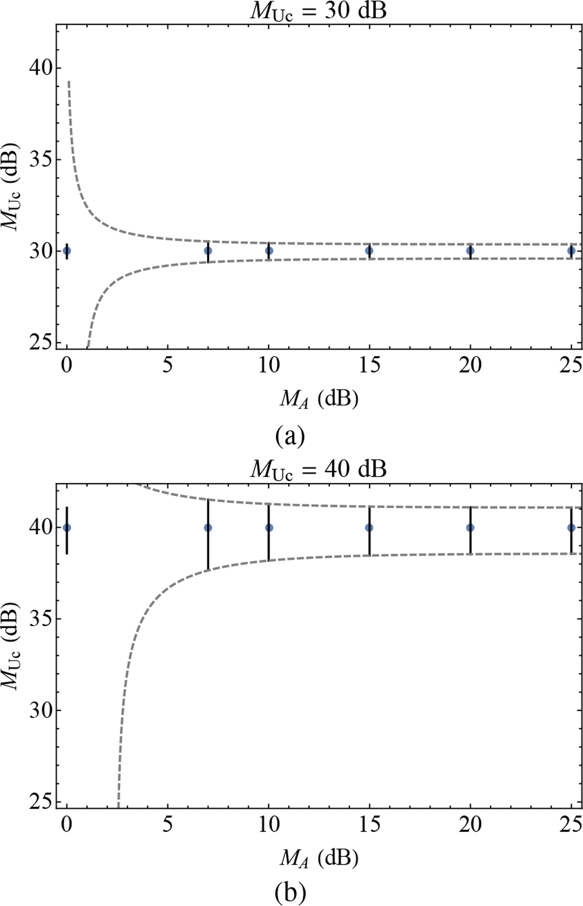
Fig. 9

Error analysis of the compensated rejection ratio. To construct the figures, we selected a particular dϕ (in this example dϕ = 0) and calculated the fraction x that allows us to obtain a desired compensated rejection ratio, MUc. Then, the associated error bars were calculated. Different goal compensated rejection ratios are presented, MUc = 30 dB (panel a) and MUc = 40 dB (panel b). Dashed gray lines are the locus of all error bars. Below a given analog rejection ratio, compensation is no longer possible. We note that, for the sake of comparison, at the point MA = 0 we have plotted the case where no IF hybrid is present.
Current usage metrics show cumulative count of Article Views (full-text article views including HTML views, PDF and ePub downloads, according to the available data) and Abstracts Views on Vision4Press platform.
Data correspond to usage on the plateform after 2015. The current usage metrics is available 48-96 hours after online publication and is updated daily on week days.
Initial download of the metrics may take a while.