Free Access
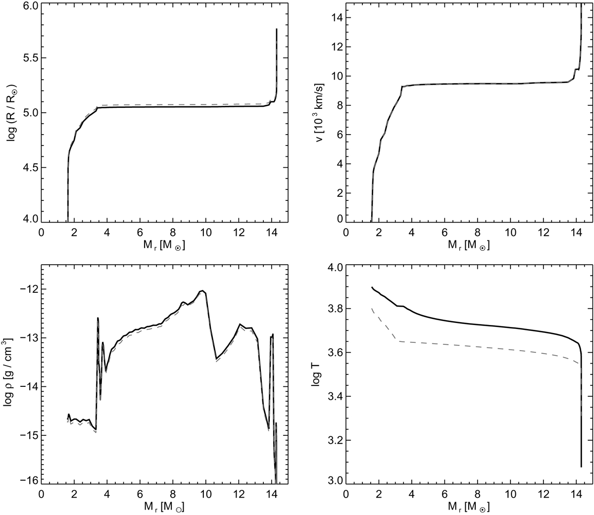
Fig. A.2.

Inner physical quantities for the model with Erot = 10 foe and tp = 1 d commented in detail in the text. These are profiles at time t = 104 days, when the niquel phase is ending and the photosphere receding. The continuous line corresponds to the relativistic solver and the dashed to the non-relativistic.
Current usage metrics show cumulative count of Article Views (full-text article views including HTML views, PDF and ePub downloads, according to the available data) and Abstracts Views on Vision4Press platform.
Data correspond to usage on the plateform after 2015. The current usage metrics is available 48-96 hours after online publication and is updated daily on week days.
Initial download of the metrics may take a while.