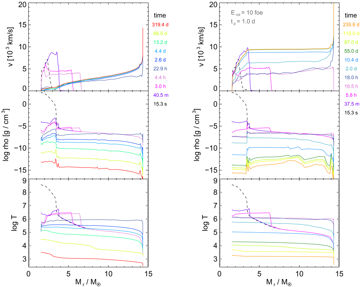
Fig. 2.

Effect of the magnetar on the velocity, density and temperature profiles, as a function of the Lagrangian mass coordinate. Right panels: same pre-SN model as on the left but including a magnetar with Erot = 10 foe and tp = 1 d, and all other parameters fixed. The color code of the epochs is preserved in each column, and is measured starting at the moment of Ek injection. With this powerful magnetar (right panels) the maximum velocity reaches one third of the speed of light at the edge of the ejecta. We cut the velocity axis in order to show the most relevant interval.
Current usage metrics show cumulative count of Article Views (full-text article views including HTML views, PDF and ePub downloads, according to the available data) and Abstracts Views on Vision4Press platform.
Data correspond to usage on the plateform after 2015. The current usage metrics is available 48-96 hours after online publication and is updated daily on week days.
Initial download of the metrics may take a while.