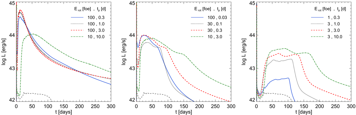
Fig. 4.

Representative examples of the computed LC set. Left panel: LCs that have one clear peak, central panel: slower declining LCs (or intermediate cases) usually presenting a broken evolution in the slope, and right panel: cases with a plateau, that is, bright Type II-P. Legends indicate the parameters Erot in units of 1051 erg, and tp in days. For comparison we include in dashed gray line the LC of the same SN without a magnetar.
Current usage metrics show cumulative count of Article Views (full-text article views including HTML views, PDF and ePub downloads, according to the available data) and Abstracts Views on Vision4Press platform.
Data correspond to usage on the plateform after 2015. The current usage metrics is available 48-96 hours after online publication and is updated daily on week days.
Initial download of the metrics may take a while.