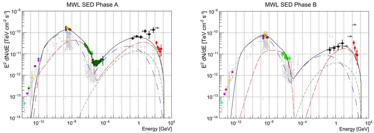
Fig. 9.

MWL SEDs for Phases A and B. Archival data from ASDC are shown in gray. The two components (blobs representing a moving emission feature and a recollimation shock, see text) are shown with blue and red dashed lines. The green line is the emission that is a result of the interaction between these two blobs and the black solid line is the sum of these three components. The red full circles represent the intrinsic (EBL deabsorbed according to Domínguez et al. 2011) MAGIC SED used in the model. For data taken in the radio and optical bands, the error bars are smaller than the size of the marker.
Current usage metrics show cumulative count of Article Views (full-text article views including HTML views, PDF and ePub downloads, according to the available data) and Abstracts Views on Vision4Press platform.
Data correspond to usage on the plateform after 2015. The current usage metrics is available 48-96 hours after online publication and is updated daily on week days.
Initial download of the metrics may take a while.