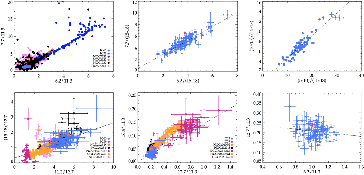
Fig. 5

Correlations between PAH band ratios observed at the tip of IC 63. We also show the PAH band ratios obtained from the average spectrum of IC 59 shown in Fig. 3 (plotted in the same color as in Fig. 3). We have plotted the data published in Stock et al. (2016, Spitzer-IRS SL data from 5–15 μm) in the 6.2/11.3 versus 7.7/11.3 correlation plot. We note that the ratios published in their work are obtained using different anchor points than ours. However, for building this plot, we have plotted their data derived from a spectral decomposition consistent with our method. The data of NGC 2023 north (N) and south (S) regions, as well as the data for NGC 7023 (“near”, “mid” and “far”) have been taken from Shannon et al. (2015, Spitzer-IRS SH data from 10–20 μm). The different regions in NGC 7023 are at different distances from the star and trace the cavity (near region), the PDR front (mid region), and the cloud (far region, as defined by Shannon et al. 2015). The dotted lines correspond to the linear fits derived from the data points (see also Table 2).
Current usage metrics show cumulative count of Article Views (full-text article views including HTML views, PDF and ePub downloads, according to the available data) and Abstracts Views on Vision4Press platform.
Data correspond to usage on the plateform after 2015. The current usage metrics is available 48-96 hours after online publication and is updated daily on week days.
Initial download of the metrics may take a while.