Free Access
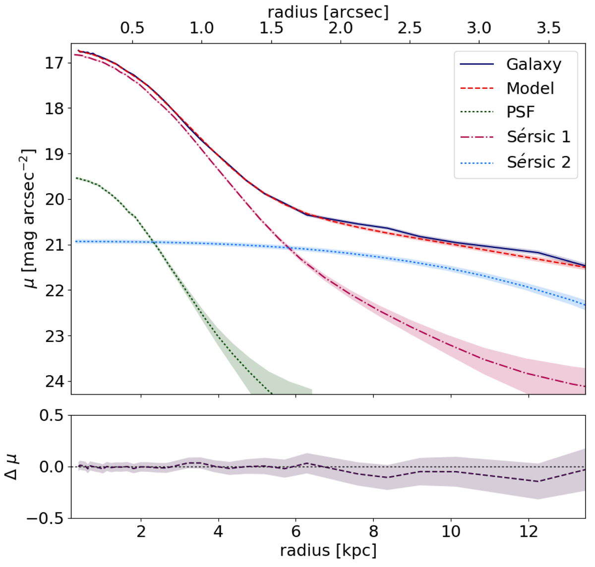
Fig. 17.

SDSS J161259.83+421940.3. The observed and model radial surface brightness profiles. Symbols and colours are explained in the plot. The shaded area around each profile describes the associated errors.
Current usage metrics show cumulative count of Article Views (full-text article views including HTML views, PDF and ePub downloads, according to the available data) and Abstracts Views on Vision4Press platform.
Data correspond to usage on the plateform after 2015. The current usage metrics is available 48-96 hours after online publication and is updated daily on week days.
Initial download of the metrics may take a while.