Free Access
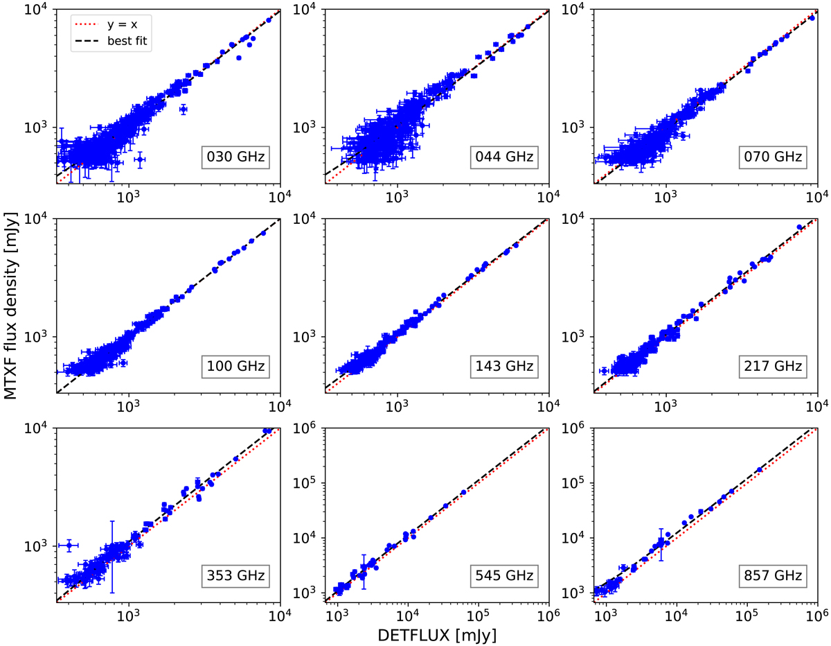
Fig. 3.

PCNT flux densities versus PCCS2 DETFLUX at the same frequency. The x = y identity is shown with a red dotted line. The dashed line shows the best linear fit to the data points and their error bars for sources with PCCS2 DETFLUX between 0.5 and 10 Jy up to 353 GHz and above 1 Jy at higher frequencies.
Current usage metrics show cumulative count of Article Views (full-text article views including HTML views, PDF and ePub downloads, according to the available data) and Abstracts Views on Vision4Press platform.
Data correspond to usage on the plateform after 2015. The current usage metrics is available 48-96 hours after online publication and is updated daily on week days.
Initial download of the metrics may take a while.