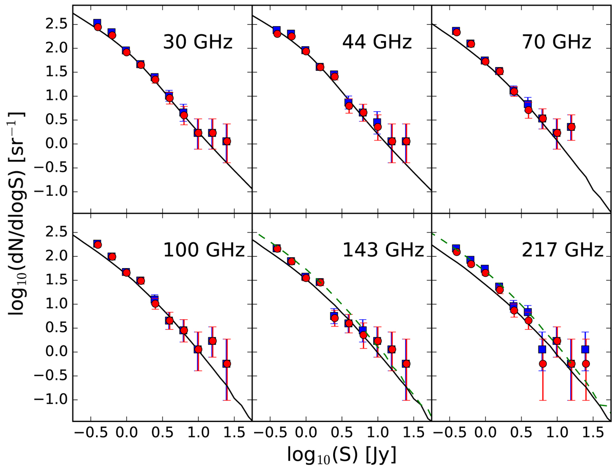
Fig. 4.

PCNT differential source number counts for 30–217 GHz here. Only 4σ detected sources at each frequency outside the GAL070 Planck Galactic mask were used (blue squares). The red circles correspond to the source counts estimated only for sources with a low-frequency counterpart in the CRATES (Healey et al. 2007) catalogue. As a comparison, the predicted radio source number counts from the Tucci et al. (2011) C2Ex model are also plotted (continuous black line). In the case of the 143 and 217 GHz channels, we also plot the number counts predicted by the Tucci et al. (2011) C2Co model (dashed green line).
Current usage metrics show cumulative count of Article Views (full-text article views including HTML views, PDF and ePub downloads, according to the available data) and Abstracts Views on Vision4Press platform.
Data correspond to usage on the plateform after 2015. The current usage metrics is available 48-96 hours after online publication and is updated daily on week days.
Initial download of the metrics may take a while.