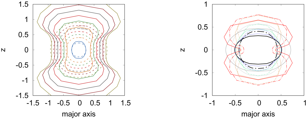
Fig. 7.

Evolution of the shell calculated by the RING code; cuts are perpendicular to the galactic plane (10, 30, 50, 70, 90, 110 and 130 Myr; left panel). Dashed lines corresponds to the evolution in the homogeneous medium, solid lines show the Gaussian profile with the scaleheight of 200 pc. No galactic potential is taken into account. Right panel: evolutionary time 30 Myr for different models: homogeneous medium (black), homogeneous medium with 5x larger energy input (grey), Gaussian density disc with scale heights of 500 pc (blue), 300 pc (green), 200 pc (brown) and 100 pc (red). Dashed and dotted lines show the situation without the galactic potential, solid lines the situation with the galactic potential. Axes are labelled in kpc.
Current usage metrics show cumulative count of Article Views (full-text article views including HTML views, PDF and ePub downloads, according to the available data) and Abstracts Views on Vision4Press platform.
Data correspond to usage on the plateform after 2015. The current usage metrics is available 48-96 hours after online publication and is updated daily on week days.
Initial download of the metrics may take a while.