Free Access

Fig. 10.

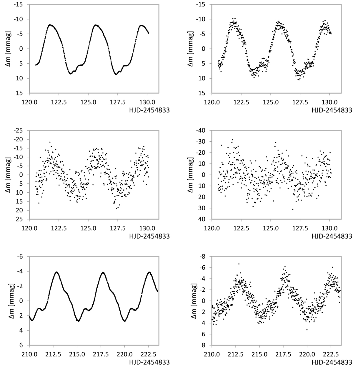
image

Light curve of KIC 5814635 (A1 V SiSrCrEu metals strong) based on original Kepler data (upper left panel) and Kepler data to which a Gaussian scatter of 1 mmag (upper right panel), 5 mmag (middle left panel), and 10 mmag (middle right panel) has been added. The subtle details revealed by Kepler can only be guessed after the introduction of a scatter of 1 mmag, which become totally unrecognizable as the scatter increases to 5 and 10 mmag, respectively. The same holds true for KIC 6426158 (A1 V SiSrCrEu). The details in the light curve (lower left panel) already get blurred after the introduction of a scatter of 1 mmag (lower right panel). This illustrates that the subtle details revealed by Kepler would have been lost in standard ground-based observations.

Current usage metrics show cumulative count of Article Views (full-text article views including HTML views, PDF and ePub downloads, according to the available data) and Abstracts Views on Vision4Press platform.

Data correspond to usage on the plateform after 2015. The current usage metrics is available 48-96 hours after online publication and is updated daily on week days.

Initial download of the metrics may take a while.