Free Access

Fig. B.1.

image

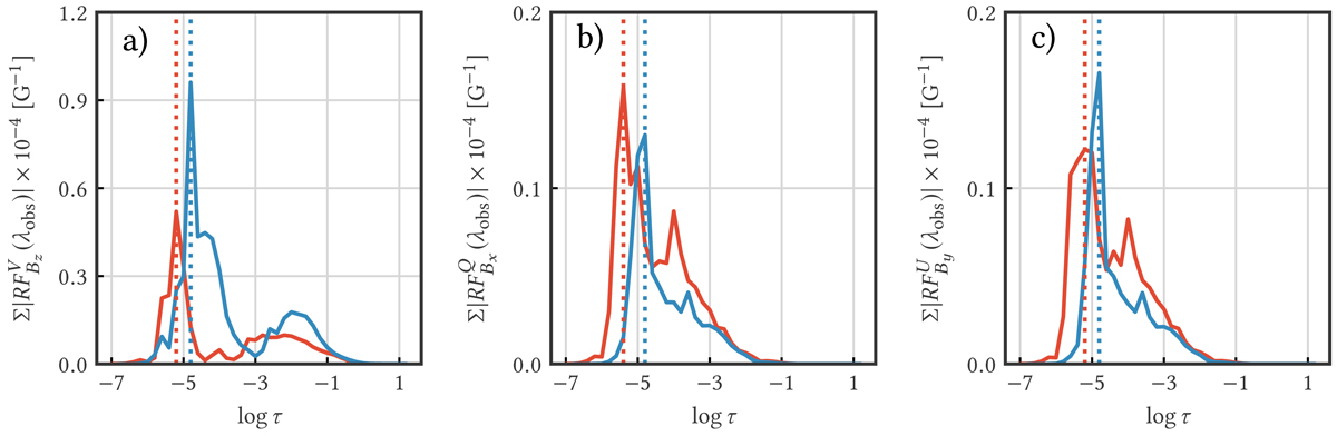
Wavelength integrated magnetic field response functions of the Ca II 8542 Å line. Panel a: sum over observed wavelengths of the absolute value response function of Stokes V to . Panels b and and . The red curves correspond to an UF atmosphere and blue curves indicate a quiescent umbra atmosphere. The maximum of each curve is indicated with a vertical dotted line with the same color coding.

Current usage metrics show cumulative count of Article Views (full-text article views including HTML views, PDF and ePub downloads, according to the available data) and Abstracts Views on Vision4Press platform.

Data correspond to usage on the plateform after 2015. The current usage metrics is available 48-96 hours after online publication and is updated daily on week days.

Initial download of the metrics may take a while.