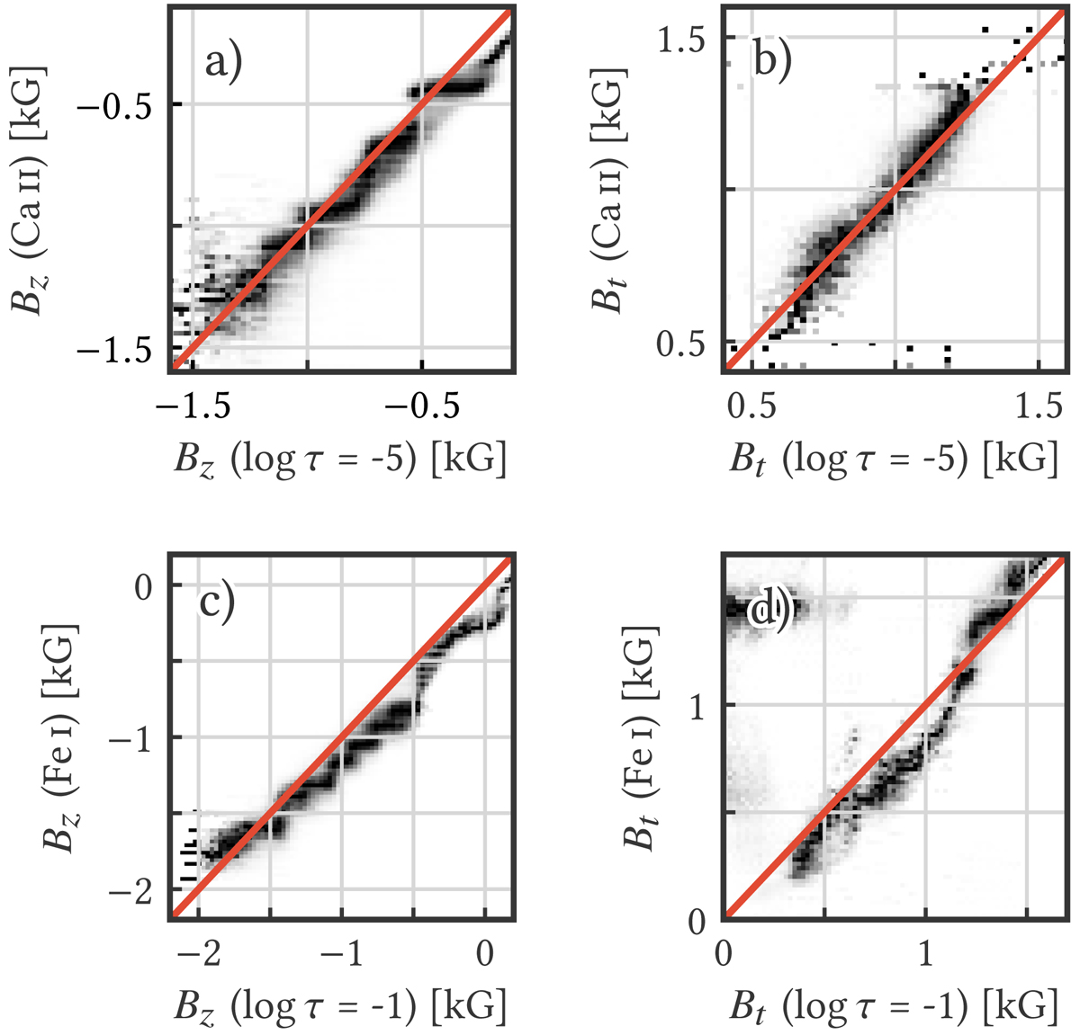
Fig. B.3.

Comparison of the magnetic field retrieved from the inversions with a single node in each component of the magnetic field vs. that from the inversions that includes a linear gradient in the magnetic field. B(z,t)(log = −5, −1) is taken from the inversions of the Ca II 8542 Å line including magnetic field gradient. The depth-independent magnetic field values derived from the inversions of the Ca II 8542 Å line and the Fe I 6301.5 and 6302.5 Å lines are indicated as B(z,t)(Ca II) and B(z,t)(Fe I), respectively. Panel a: normalized two-dimensional histogram of Bz(log τ = −5) vs. Bz(Ca II). Panel b: similar to panel a, but comparing Bt(log τ = −5) and Bt(Ca II). Panel c: normalized two-dimensional histogram of Bz(log τ = −1) vs. Bz(Fe I). Panel d: similar to panel c, but comparing Bt(log τ = −1) and Bt(Fe I). The red line in all the panels illustrates a one to one correspondence.
Current usage metrics show cumulative count of Article Views (full-text article views including HTML views, PDF and ePub downloads, according to the available data) and Abstracts Views on Vision4Press platform.
Data correspond to usage on the plateform after 2015. The current usage metrics is available 48-96 hours after online publication and is updated daily on week days.
Initial download of the metrics may take a while.