Free Access

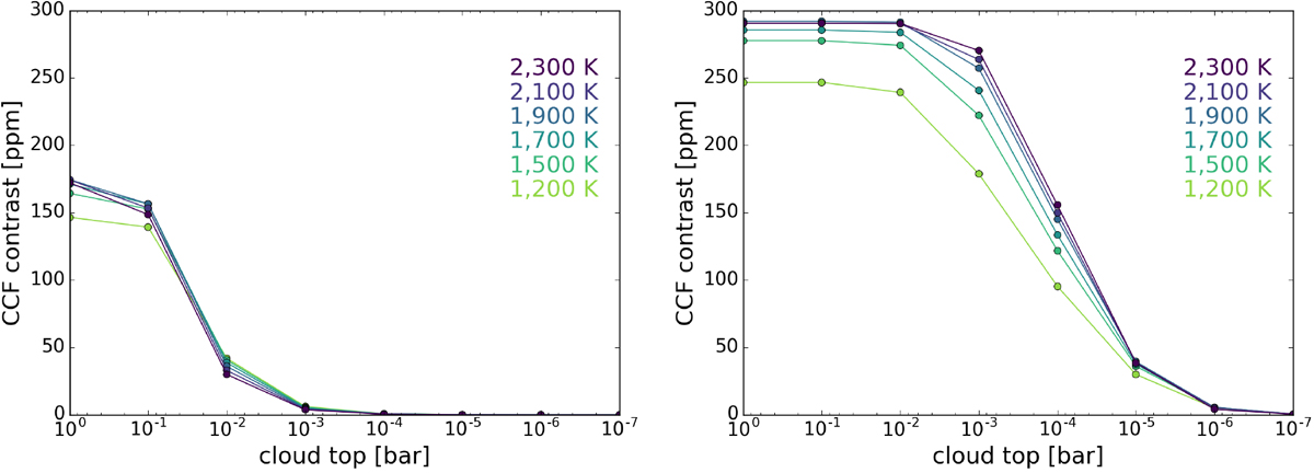
Fig. 4

image

Contrast of the CCF as a function of altitude of aerosols (expressed as pressure of the cloud top). Lighter colours indicate colder models, darker colours indicate hotter models (between 1200 and 2300 K), as indicated by the colour-matched labels. Left panel: band, as observed with ESPRESSO. A sharp decrease in the contrast of the CCF happens for aerosols higher than 10−1   bar Right panel: band, as observed with GIANO. A sharp decrease in the contrast of the CCF is caused by aerosols higher than 10−3   bar, thus this water band is less muted by aerosols compared to the band.

Current usage metrics show cumulative count of Article Views (full-text article views including HTML views, PDF and ePub downloads, according to the available data) and Abstracts Views on Vision4Press platform.

Data correspond to usage on the plateform after 2015. The current usage metrics is available 48-96 hours after online publication and is updated daily on week days.

Initial download of the metrics may take a while.