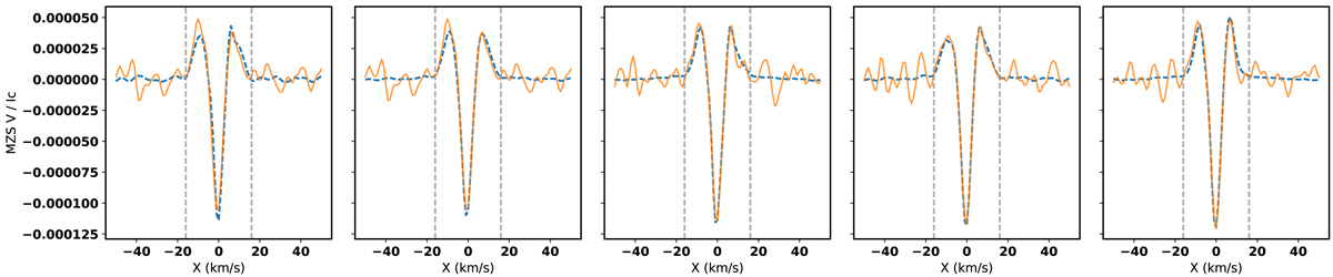
Fig. 10.

Examples of MZS profiles obtained for the HD 190771 data (solid lines) and the respective noised-cleaned MZSs (dashed lines). The shape variations of the MZSs are similar to those in the synthetic case showed in the upper panel of Fig. 5. The dashed vertical lines determine the region employed in the inversion of the MZS profiles.
Current usage metrics show cumulative count of Article Views (full-text article views including HTML views, PDF and ePub downloads, according to the available data) and Abstracts Views on Vision4Press platform.
Data correspond to usage on the plateform after 2015. The current usage metrics is available 48-96 hours after online publication and is updated daily on week days.
Initial download of the metrics may take a while.