Free Access

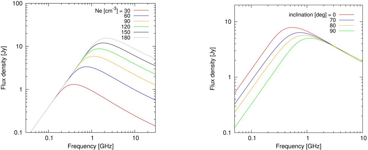
Fig. 10.

image

Left: effect of the thermal electron density (determined by the EM) on low-frequency spectra of starburst galaxies seen edge-on. The thermal and nonthermal emitting gases are fully mixed with a constant 10% thermal fraction at 1.4 GHz (to be compared with the analytical model of Condon et al. (1991). Right: similar model applied for a galaxy seen at a different viewing angle with Ne = 80 cm−3.

Current usage metrics show cumulative count of Article Views (full-text article views including HTML views, PDF and ePub downloads, according to the available data) and Abstracts Views on Vision4Press platform.

Data correspond to usage on the plateform after 2015. The current usage metrics is available 48-96 hours after online publication and is updated daily on week days.

Initial download of the metrics may take a while.