Free Access

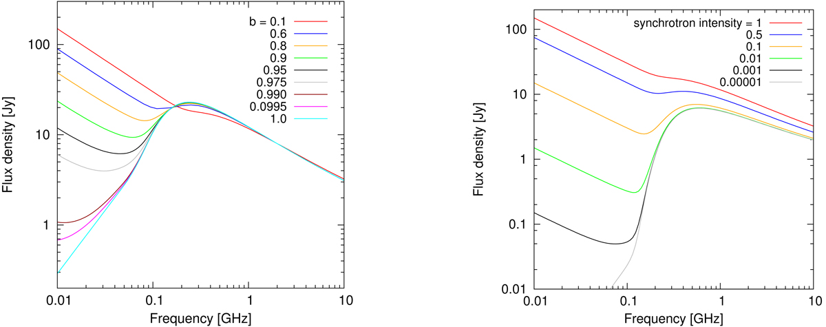
Fig. 11.

image

Left: model of a starburst galaxy with a synchrotron halo of varying size, as measured by the ratio b (see text for details). The thermal fraction of the disk emission is assumed to be 10% at 1.4 GHz for all models. Right: similar model with the same synchrotron halo of b = 0.1 but different synchrotron intensity.

Current usage metrics show cumulative count of Article Views (full-text article views including HTML views, PDF and ePub downloads, according to the available data) and Abstracts Views on Vision4Press platform.

Data correspond to usage on the plateform after 2015. The current usage metrics is available 48-96 hours after online publication and is updated daily on week days.

Initial download of the metrics may take a while.