Free Access

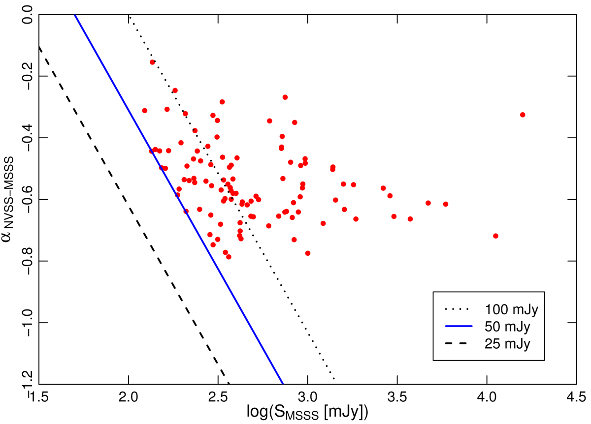
Fig. 5.

image

Two-point spectral index between 150 MHz and 1.4 GHz, as estimated from MSSS and NVSS data, for the sample of 106 galaxies. The dashed, solid, and dotted lines correspond to galaxy flux density limits of 25, 50, and 100 mJy at 1.4 GHz, respectively.

Current usage metrics show cumulative count of Article Views (full-text article views including HTML views, PDF and ePub downloads, according to the available data) and Abstracts Views on Vision4Press platform.

Data correspond to usage on the plateform after 2015. The current usage metrics is available 48-96 hours after online publication and is updated daily on week days.

Initial download of the metrics may take a while.