Free Access

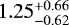
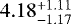
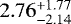
Table 6

Interior parameter estimates for dry and wet scenario.

Interior parameter Wet Dry
log10(Pbatm [atm])
μ (g mol−1)
α
rgas/Rp
mwater/Mp
rcore+mantle /Rp
rcore/rcore+mantle
Fe∕Simantle
Mg∕Simantle

Notes. One-σ uncertainties of the one-dimensional marginalized posteriors are listed.

Current usage metrics show cumulative count of Article Views (full-text article views including HTML views, PDF and ePub downloads, according to the available data) and Abstracts Views on Vision4Press platform.

Data correspond to usage on the plateform after 2015. The current usage metrics is available 48-96 hours after online publication and is updated daily on week days.

Initial download of the metrics may take a while.