Open Access

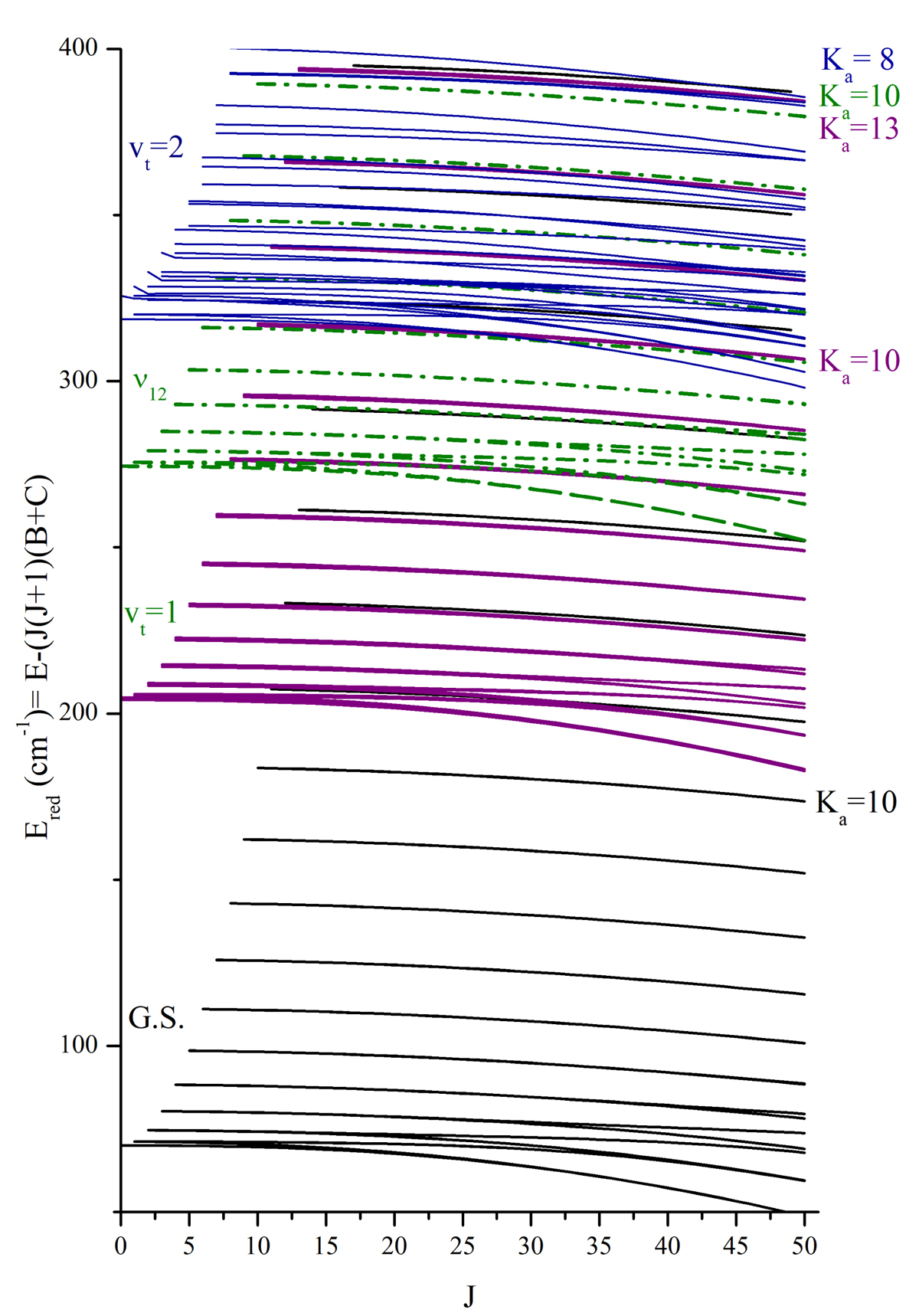
Fig. 3.

image

Reduced energy diagram where the reduced energy of each rotational state of the different vibrational states is represented in function of the quantum number J. The reduced energies Ered are calculated as Ered(cm−1)=E − (J(J + 1)(B + C)) employing the energies obtained from the fit for the torsional states and the corrected ab initio values for v12.

Current usage metrics show cumulative count of Article Views (full-text article views including HTML views, PDF and ePub downloads, according to the available data) and Abstracts Views on Vision4Press platform.

Data correspond to usage on the plateform after 2015. The current usage metrics is available 48-96 hours after online publication and is updated daily on week days.

Initial download of the metrics may take a while.