Free Access
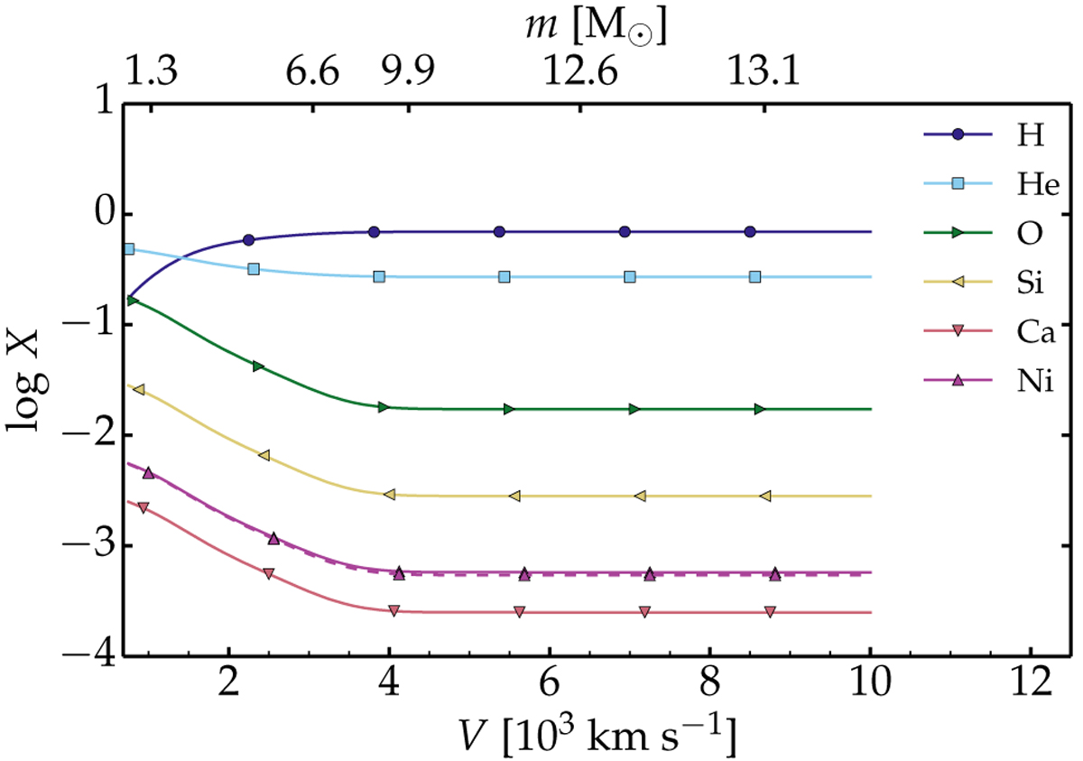
Fig. 1

Chemical composition of the BSG explosion model used for the Bsm (smooth) and Bcl (clumped) simulations with CMFGEN (Sect. 4). The x-axis is cut at 10 000 km s−1 – the composition is uniform above that limit and up to the maximum ejecta velocity of 30 000 km s−1.
Current usage metrics show cumulative count of Article Views (full-text article views including HTML views, PDF and ePub downloads, according to the available data) and Abstracts Views on Vision4Press platform.
Data correspond to usage on the plateform after 2015. The current usage metrics is available 48-96 hours after online publication and is updated daily on week days.
Initial download of the metrics may take a while.