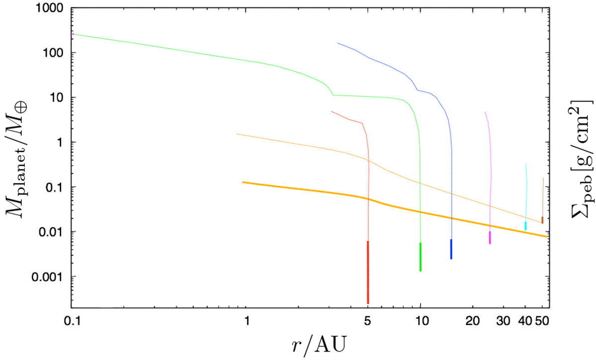
Fig. 1

Comparison between the results of B15b (thin lines) and our results (thick lines). The lines starting vertically are the formation tracks of planets starting at 5, 10, 15, 25, 40, and 50 AU. The orange lines are the surface density of pebbles at 2 Myr in the two models. As in B15b, the planets are assumed to start their formation at 2 Myr.
Current usage metrics show cumulative count of Article Views (full-text article views including HTML views, PDF and ePub downloads, according to the available data) and Abstracts Views on Vision4Press platform.
Data correspond to usage on the plateform after 2015. The current usage metrics is available 48-96 hours after online publication and is updated daily on week days.
Initial download of the metrics may take a while.