Free Access
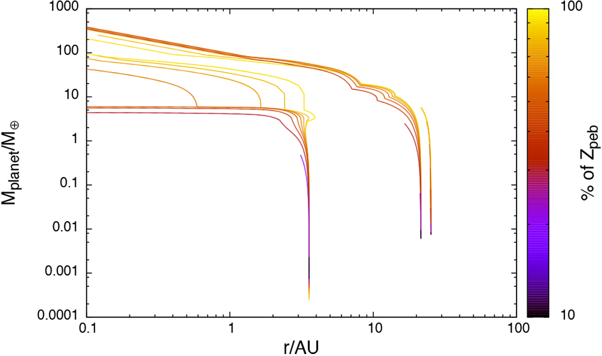
Fig. 6

Growth tracks of planets for different starting locations. The colour code is the percentage of solids that is used to form pebbles. The remaining solids are the dust in the disc.
Current usage metrics show cumulative count of Article Views (full-text article views including HTML views, PDF and ePub downloads, according to the available data) and Abstracts Views on Vision4Press platform.
Data correspond to usage on the plateform after 2015. The current usage metrics is available 48-96 hours after online publication and is updated daily on week days.
Initial download of the metrics may take a while.