Free Access
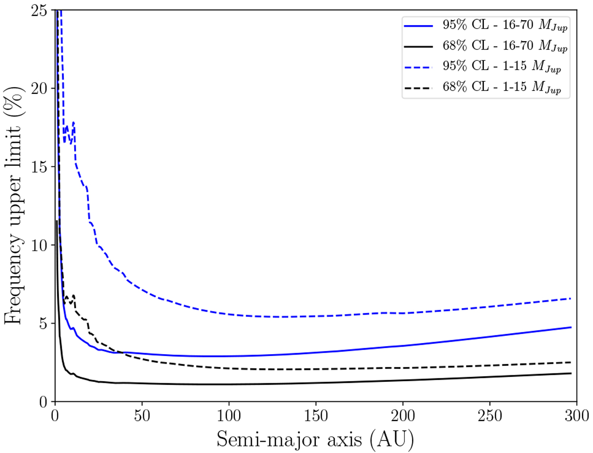
Fig. 11

Maximum frequency of circumbinary companions in our SPOTS III survey as a function of mass and semimajor axis. Constraints on the presence of planetary-mass companions and BDs are shown for a 68 and a 95% confidence level.
Current usage metrics show cumulative count of Article Views (full-text article views including HTML views, PDF and ePub downloads, according to the available data) and Abstracts Views on Vision4Press platform.
Data correspond to usage on the plateform after 2015. The current usage metrics is available 48-96 hours after online publication and is updated daily on week days.
Initial download of the metrics may take a while.