Free Access

Fig. A.4

image

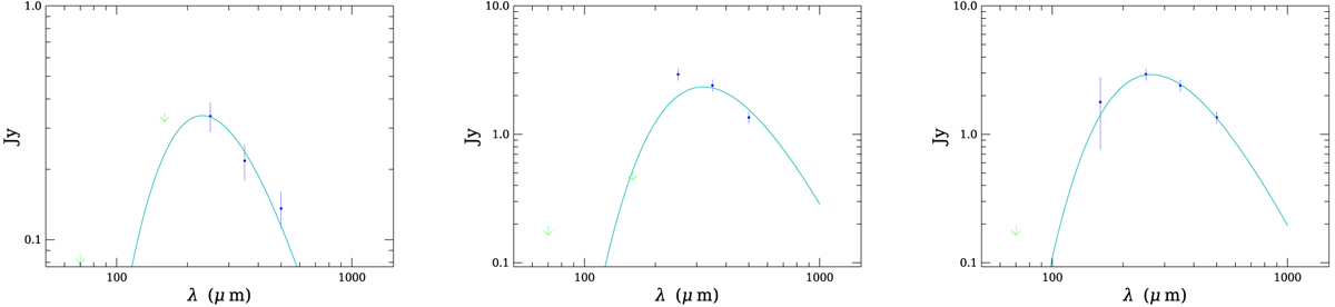
Grey-body fit to the SED at the Herschel bands for sources HGBS–J153809.7-34074 (left panel) and HGBS–J154024.0-33373 (central and right panels) of the dense cores catalogue. Figures of the observed SED and the grey-body fit for all the dense cores in our catalogues are provided at http://gouldbelt-herschel.cea.fr/archives. Upper limits are indicated with green arrows. Source HGBS–J154024.0-33373 was not detected at 160 μm. In the central panel, we show the best SED fit that respects the upper limit at this wavelength: we cannot find any grey-body model that fits the SPIRE fluxes and the PACS upper limits at the same time. In the right panel, the 160 μm upper limit is relaxed (see text in Appendix A) and flux with a very low weight is used in the fitting. Now we can find a very good fit to the observed SED.

Current usage metrics show cumulative count of Article Views (full-text article views including HTML views, PDF and ePub downloads, according to the available data) and Abstracts Views on Vision4Press platform.

Data correspond to usage on the plateform after 2015. The current usage metrics is available 48-96 hours after online publication and is updated daily on week days.

Initial download of the metrics may take a while.