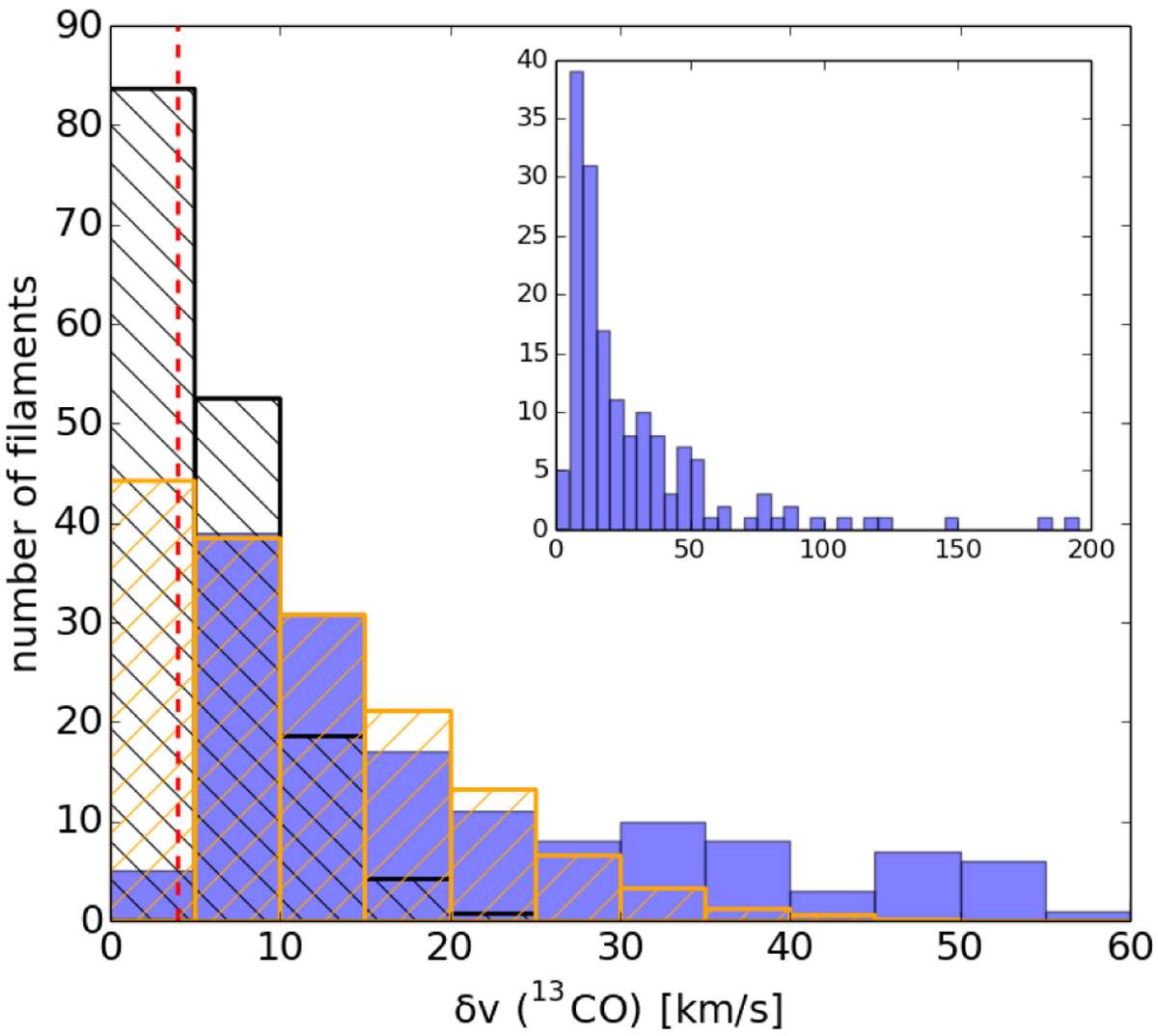
Fig. 22

Histogram of the absolute difference in velocity between the neighboring velocity components of a filament. Upper right panel: complete distribution, main panel: only the lower velocity separations. The black and orange hatched distributions indicate the models for spiral arm velocity dispersions of 5 km s −1 and 10 km s−1. The dashed red line indicates the average velocity separation limit of 3.5 km s−1 (see Eq. (1) and mean velocity dispersion of 1.17 km s−1).
Current usage metrics show cumulative count of Article Views (full-text article views including HTML views, PDF and ePub downloads, according to the available data) and Abstracts Views on Vision4Press platform.
Data correspond to usage on the plateform after 2015. The current usage metrics is available 48-96 hours after online publication and is updated daily on week days.
Initial download of the metrics may take a while.