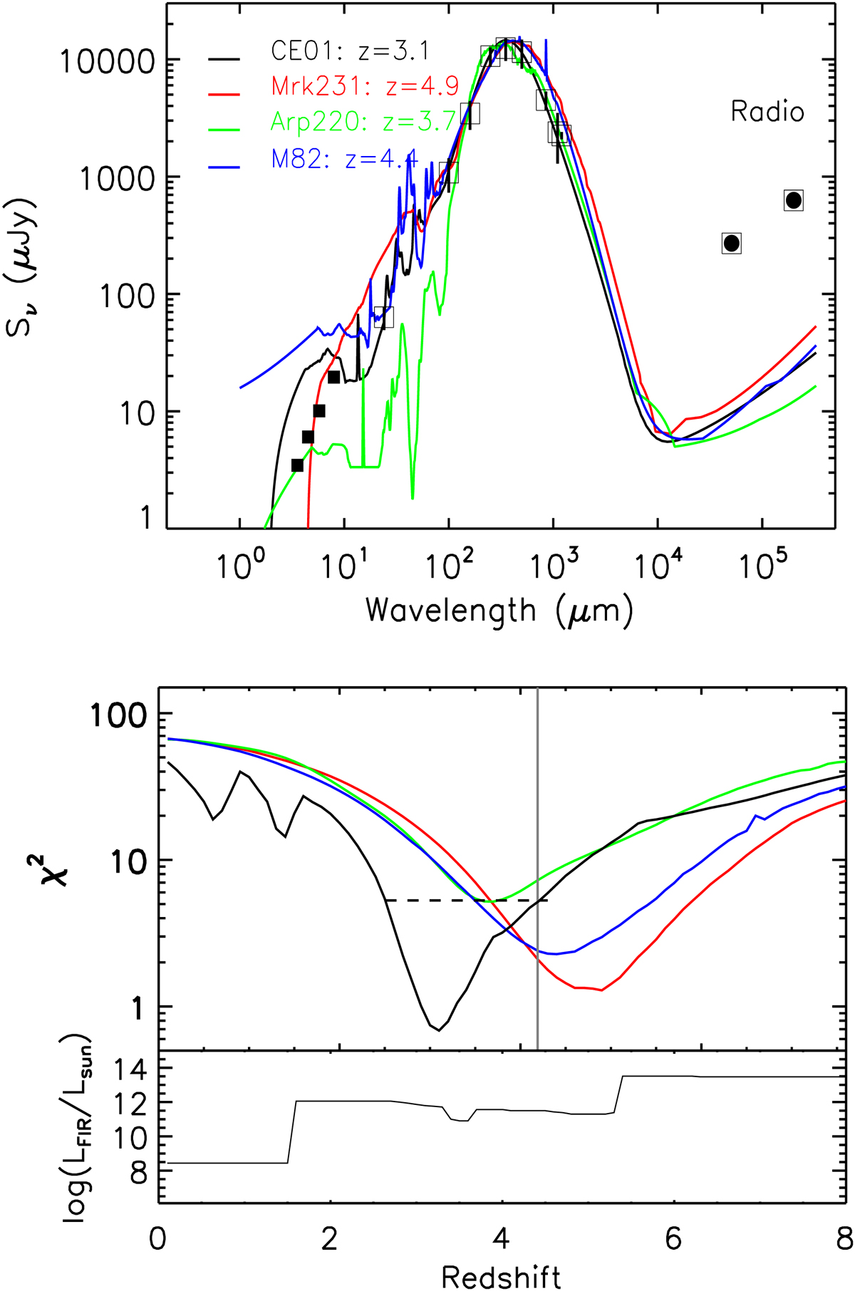
Fig. 4.

Top panel: FIR to radio SED of GH500.30 (open squares). The black curve shows the best-fit SED among all 105 CE01 templates. The best-fits with Mrk 231, Arp 220 and M82 SED are shown in red, green and blue curves, respectively. The fill squares are observed Spitzer/IRAC fluxes. Bottom panel: χ2vs. redshift. The black curve represents the results from the best-fit CE01 SED at each redshift, and the color-coded curves are for the Mrk 231, Arp 220 and M82 SED. The horizontal dashed line shows the 90% confidence interval for the redshift. The lower panel at the bottom shows the IR luminosities from CE01 templates that allow for the minimum χ2 at each redshift. The vertical gray curve represents the best-fit redshift (z = 4.19) from the optical-to-NIR SED.
Current usage metrics show cumulative count of Article Views (full-text article views including HTML views, PDF and ePub downloads, according to the available data) and Abstracts Views on Vision4Press platform.
Data correspond to usage on the plateform after 2015. The current usage metrics is available 48-96 hours after online publication and is updated daily on week days.
Initial download of the metrics may take a while.