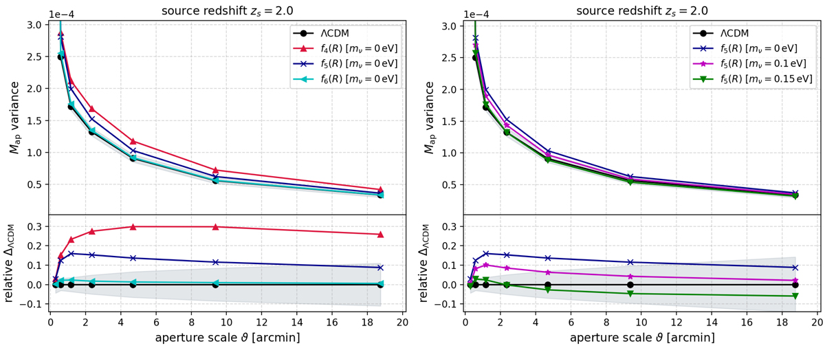
Fig. 5.

Aperture mass variance as a function of filtering scale for ΛCDM and MG models. Data points represent the mean over 256 realisations of each simulated cosmology and are plotted at scales (ϑ1, …, ϑ7) = (0.293′, 0.586′, 1.17′, 2.34′, 4.69′, 9.34′, 18.8′). Shaded areas indicate the one standard deviation statistical uncertainty around ΛCDM. Left panel: three f(R) models without neutrinos. Differences in MG variance relative to ΛCDM match those seen for the power spectra in Fig. 4. In particular, the f4(R) variance at large scales exceeds that of ΛCDM by around 30%, while the maximum deviations of f5(R) and f6(R) occur at small scales at a level of about 16% and 2%, respectively. Right panel: three f5(R) models with different sums of neutrino masses mν. Trends in the curves again mirror their power spectra, and the effect of neutrinos damping structure growth is seen in the modulation of f5(R) variance with mν = 0 eV towards the curve for mν = 0.15 eV.
Current usage metrics show cumulative count of Article Views (full-text article views including HTML views, PDF and ePub downloads, according to the available data) and Abstracts Views on Vision4Press platform.
Data correspond to usage on the plateform after 2015. The current usage metrics is available 48-96 hours after online publication and is updated daily on week days.
Initial download of the metrics may take a while.