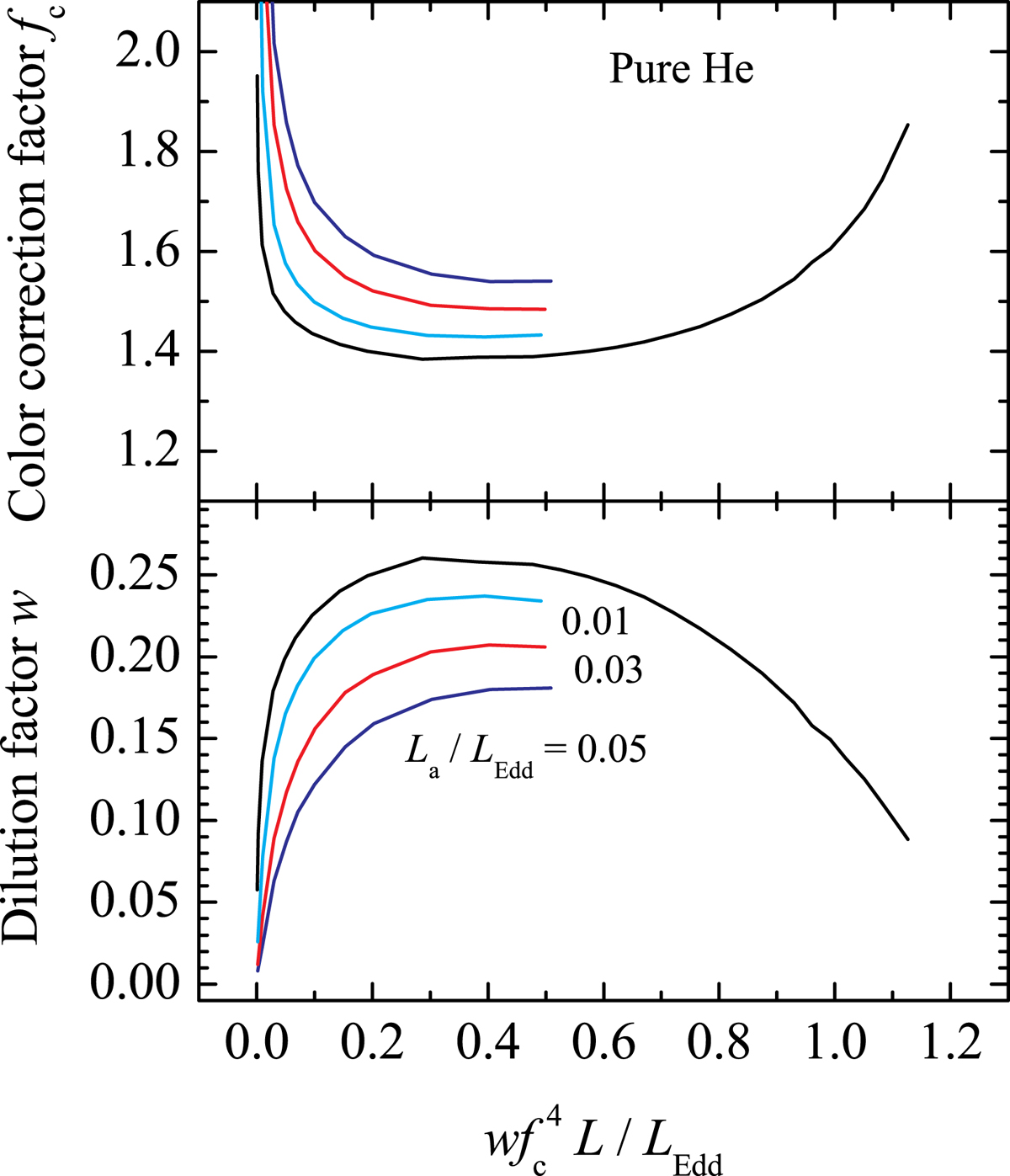
Fig. 17.

Color correction (top panel) and dilution (bottom panel) factors as functions of the corrected relative luminosity. They are computed using residual spectra of the heated helium model atmospheres for three accretion rates, ℓa = 0.05 (dark blue), 0.03 (red), and 0.01 (light blue). Other parameters are χ = 0.2, η = 0.75, and Ψ = 60°. The corresponding factors computed using spectra of undisturbed atmospheres are also shown by black curves.
Current usage metrics show cumulative count of Article Views (full-text article views including HTML views, PDF and ePub downloads, according to the available data) and Abstracts Views on Vision4Press platform.
Data correspond to usage on the plateform after 2015. The current usage metrics is available 48-96 hours after online publication and is updated daily on week days.
Initial download of the metrics may take a while.