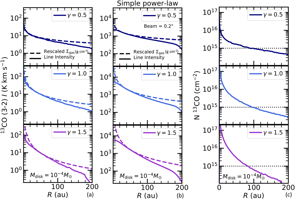
Fig. 1

Panel a: 13CO line intensity radial profiles (solid lines) obtained with three representative disk models with input surface density distribution Σgas (dashed lines) chosen to be a simple power-law (see Eq. (2)). The model parameters are Rout = 200 au, Mdisk = 10−4 M⊙, and γ = 0.8, 1, 1.5 shown in dark blue, light blue, and purple, respectively (top, middle, and bottom panels). No beam convolution is applied to the simulated images and a distance of 150 pc is assumed. Panel b: 13 CO line intensity radial profiles compared with input surface density profiles as in panel a, but convolved with a 0.2′′ beam. Panel c: column densities of gas-phase 13CO calculated from the surface to the midplane shown as function of the disk radius for the three representative models with simple power-law surface density. The dotted black line indicates the column density at which CO self-shielding becomes inefficient (N = 1015 cm−2). Ice-phase CO column densities are not shown in the plot as they are below the values shown here.
Current usage metrics show cumulative count of Article Views (full-text article views including HTML views, PDF and ePub downloads, according to the available data) and Abstracts Views on Vision4Press platform.
Data correspond to usage on the plateform after 2015. The current usage metrics is available 48-96 hours after online publication and is updated daily on week days.
Initial download of the metrics may take a while.