Free Access
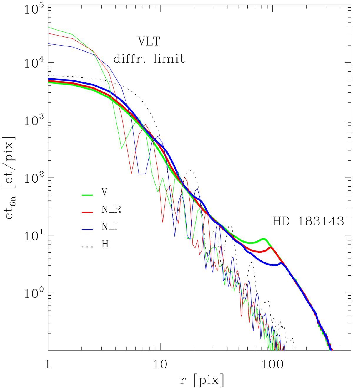
Fig. 10.

Flux normalized PSFs ctn6(r) for HD 183143 (thick profiles) and the calculated diffraction limited PSF of the VLT (thin profile) for the filters V (λ = 545 nm), N_R (645 nm), N_I (817 nm), and including the H-band (1.62 μm) for the VLT. One pixel is 3.6 mas.
Current usage metrics show cumulative count of Article Views (full-text article views including HTML views, PDF and ePub downloads, according to the available data) and Abstracts Views on Vision4Press platform.
Data correspond to usage on the plateform after 2015. The current usage metrics is available 48-96 hours after online publication and is updated daily on week days.
Initial download of the metrics may take a while.