Free Access
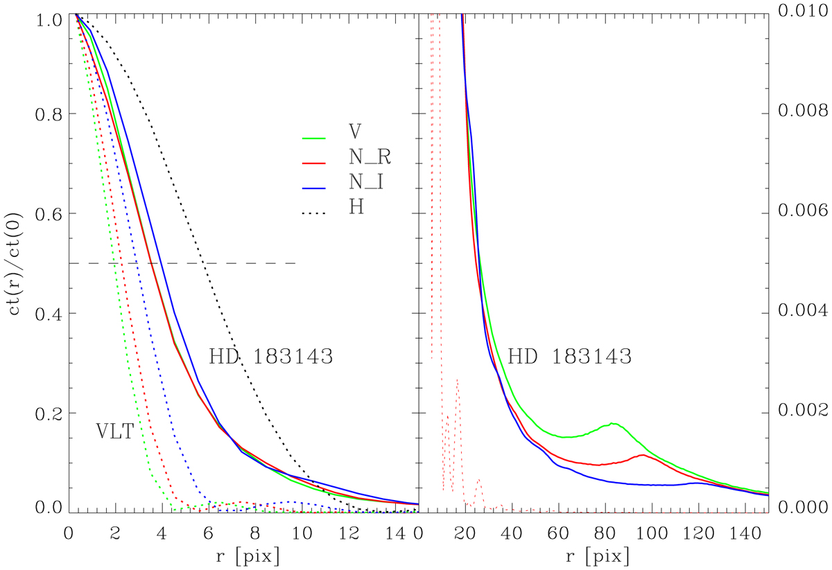
Fig. 11.

Same PSFs for HD 183143 and the VLT diffraction limit as in Fig. 10 but normalized to the peak flux. The dashed line in the left panel marks the half width at half maximum of the profiles. The dotted curves are the calculated diffraction limited profiles. The flux scale in the right panel is 100 times lower.
Current usage metrics show cumulative count of Article Views (full-text article views including HTML views, PDF and ePub downloads, according to the available data) and Abstracts Views on Vision4Press platform.
Data correspond to usage on the plateform after 2015. The current usage metrics is available 48-96 hours after online publication and is updated daily on week days.
Initial download of the metrics may take a while.