Free Access
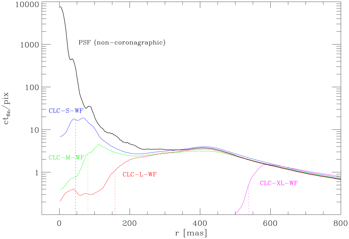
Fig. 17.

Normalized radial profiles ct6n(r) for the I_PRIM coronagraphic images in Fig. 16 of α Hyi taken with the small S (blue), medium M (green), large L (red), and extra-large XL (magenta) focal plane stops. Also plotted is the non-coronagraphic PSF profile. The dotted lines indicate the nominal mask radii.
Current usage metrics show cumulative count of Article Views (full-text article views including HTML views, PDF and ePub downloads, according to the available data) and Abstracts Views on Vision4Press platform.
Data correspond to usage on the plateform after 2015. The current usage metrics is available 48-96 hours after online publication and is updated daily on week days.
Initial download of the metrics may take a while.