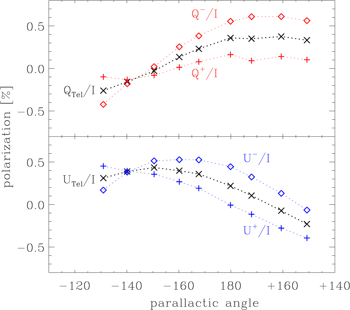
Fig. 23.

Residual telescope polarization qtel = Qtel/I and utel = Utel/I as function of parallactic angle for the unpolarized star ϵ Eri in the VBB filter. Also shown are the measurements q +, q −, u +, and u − of a polarimetric cycle, which include instrument polarization component ±pSZ for the P2-mode and a field position angle offset of 60°.
Current usage metrics show cumulative count of Article Views (full-text article views including HTML views, PDF and ePub downloads, according to the available data) and Abstracts Views on Vision4Press platform.
Data correspond to usage on the plateform after 2015. The current usage metrics is available 48-96 hours after online publication and is updated daily on week days.
Initial download of the metrics may take a while.