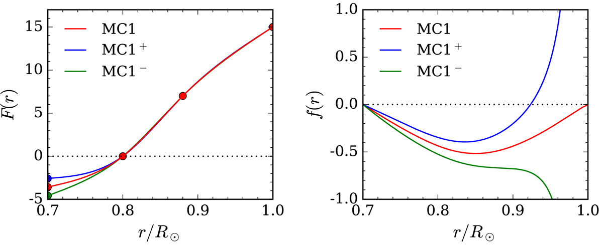
Fig. A.1.

Example of how an adjustment to the bottom point (rb, F(rb)) when constructing the F(r) affects the resulting f(r). The flow model used in the example is MC1 whose bottom is at rb = 0.7R⊙. Left panel: assigned points (filled circles) for constructing the F(r) of model MC1 connected by cubic spline interpolation (red curve). The value of F(rb) for model MC1 is deliberately increased (MC1+, blue curve) or decreased (MC1−, green curve) by one. Right panel: resulting f(r) from the three F(r) in the left panel by computing Eq. (A.1). The values of f(rt) for MC1+ and MC1− are 25360.8 and −25360.8, respectively.
Current usage metrics show cumulative count of Article Views (full-text article views including HTML views, PDF and ePub downloads, according to the available data) and Abstracts Views on Vision4Press platform.
Data correspond to usage on the plateform after 2015. The current usage metrics is available 48-96 hours after online publication and is updated daily on week days.
Initial download of the metrics may take a while.