Open Access
Fig. 3.

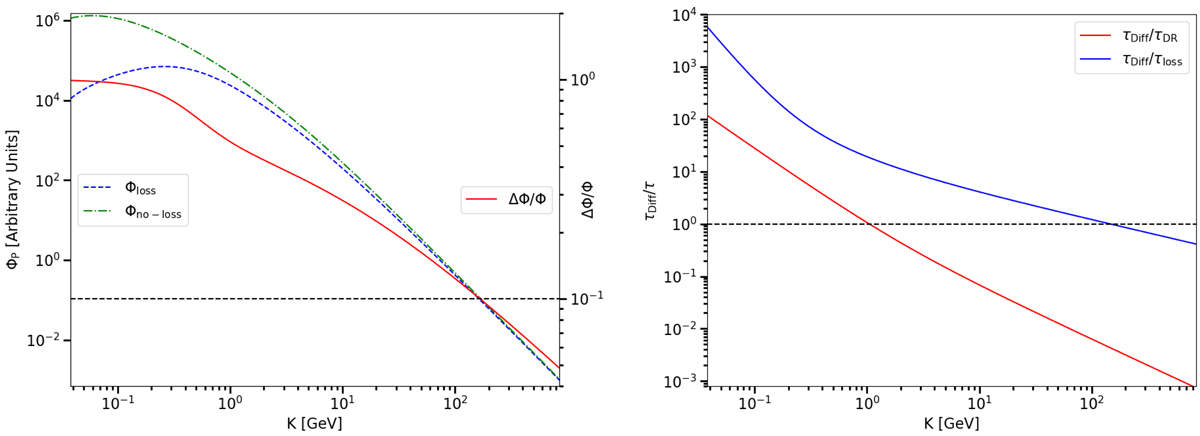
Left panel: H protons flux Φp at Earth, for the Kr2.4 model with and without energy losses and re-acceleration against kinetic energy (K). Solar modulation was turned off in both cases, such that ΦF = 0. Right panel: timescales ratios against kinetic energy for the Kr2.4 model.
Current usage metrics show cumulative count of Article Views (full-text article views including HTML views, PDF and ePub downloads, according to the available data) and Abstracts Views on Vision4Press platform.
Data correspond to usage on the plateform after 2015. The current usage metrics is available 48-96 hours after online publication and is updated daily on week days.
Initial download of the metrics may take a while.