Open Access
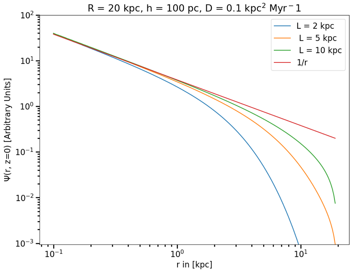
Fig. 4.

Density profiles for a various set of halo size L for a purely diffusive equation. The profile for an infinite box (in both direction) is also displayed and is labeled 1/r as Ψ = N0/4πDr in this case.
Current usage metrics show cumulative count of Article Views (full-text article views including HTML views, PDF and ePub downloads, according to the available data) and Abstracts Views on Vision4Press platform.
Data correspond to usage on the plateform after 2015. The current usage metrics is available 48-96 hours after online publication and is updated daily on week days.
Initial download of the metrics may take a while.